The Feather Step

The Feather Step is one of the most iconic figures in Foxtrot, often described as the “signature” of the dance. Despite its reputation for being notoriously difficult — sometimes jokingly called the “$40,000 step” — the Feather Finish (starting on step 2) is not mystical or secret. It's simply:

two forward steps during which there is a 45o rotation of the frame and hips with a slight sway to the right as a result of the forward step on the left foot. It's that simple.

The term “feather” comes from the lightness of the action. The final step does not crash into Outside Partner, it feathers out softly and smoothly, giving the impression of floating forward without interruption. When done correctly, the Feather Step embodies the very character of Foxtrot: smooth, continuous, and effortless.


The Feather Step (Core Definition)

At its essence, the Feather Step is just three steps forward for the Leader which the Dance Charts describe as (for the Leader):

  1. RF forward, CBM on 1
  2. LF forward, left side leading.
  3. RF forward in CBMP The Follower’s part complements this with three backward steps.

This describes the consequence of what is happening but not how it happens. It also encourages the Leader to 'do CBM' on the start of Step 1 which creates a \(45^o\) Frame rotation. Since this is done during the first step Follower might easily interpret it as a 'commence to turn right' at which point the partnership is heading in the wrong direction. Additionally it takes a lot of energy to rotate to \(45^o\) at the start of Step 1 and that energy has nowhere to go (breaking Least Action) as the position has to be held for the forward steps on 2 and 3. It's an awkward movement after which the RF is deliberately 'placed in CBMP'.

The result looks ragged and contrived which is far from the smoothness this figure needs. The student are then told 'to practice more' which results in them continuing to make the same mistakes over and over.

There Is A Better Way

Which is far easier, doesn't break Least Action or any other physics. Did we mention it's far, far easier?

For the Leader:

  1. RF forward in commencing rotation (creating the appearance of CBM during step 1)
  2. LF forward, left side leading continuing rotation.
  3. RF forward, Outside Partner, rotation stops as the RF takes weight (in CBMP).

The Follower’s part complements this with three backward steps.

It's the continuous rotation of the Frame and hips that creates the CBM during Step 1 and the 'Left Side Leading' during Step 2. This rotation may or may not continue to the end of Step 3 when weight is applied to the RF depending on the shape needed to naturally place the RF in CBMP.

You will find that this almost guarantees that you will be in the correct 'outside partner' position for the RF forward Feather Finish. The CBMP will happen as a result of the angle of the hips and Frame as shown below:

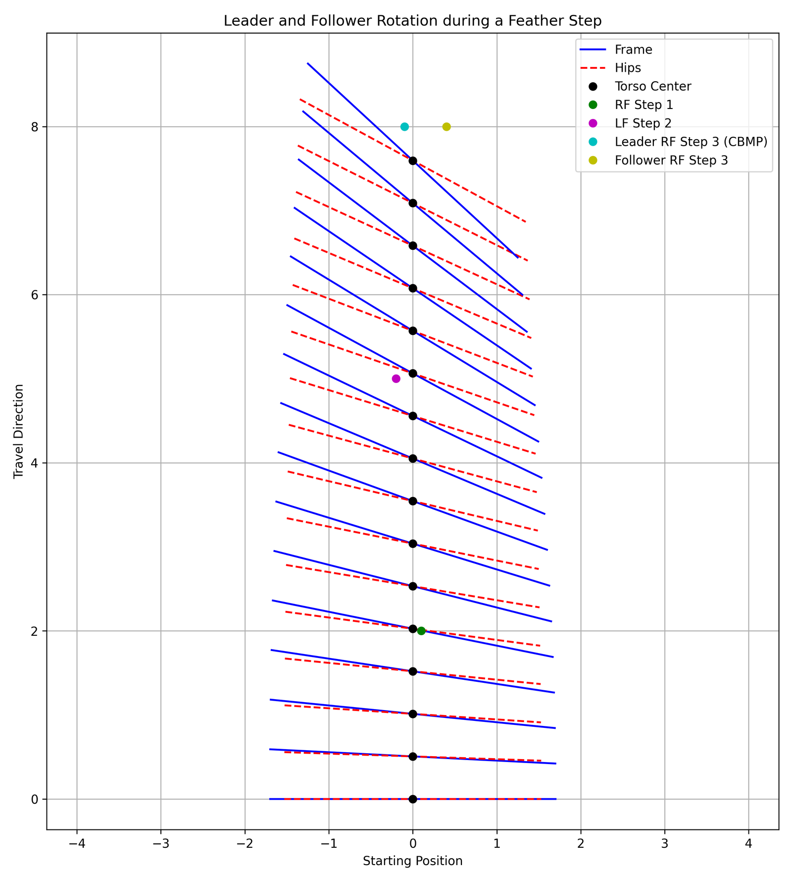
Feather Step Made Easy with Rotation

This graph shows that there is a gradual rotation of the Frame (blue) and hips (red) over the 3 steps of the figure. For Outside Partner to be achieved at the end of step 3 requires a rotation of approximately 45o.

Note that this shows the rotation over three steps starting with the RF forward. The rotation during step 1 gives the appearance of CBM which spans the entire step rather than being performed in one sudden, jerky movement.


Important Clarifications

  • The ISTD charts often show an extra preceding step (such as LF forward before the Feather) or add a step after it, depending on what figure it’s linking from or to. This can make the Feather look like a 4-step action on paper.

  • In reality, the core Feather Step is 3 steps.

  • The Feather Finish is simply the last two steps of the Feather, used as an open finish after other figures.


We don't have to worry about 'CBMP'

We don't worry about CBMP as it just happens as a result of the hip and Frame position at the end of Step 3 or the end of an Open Finish.

“Forward in line with or across the line of the standing foot.”

That’s what every syllabus manual says. It makes CBMP sound like a discrete placement task: “put your moving foot right here, across this line.” In reality that the foot placement has been setup during the preceding step and is not something you consciously do.


The reality in dancing

  • CBMP is not an action — it’s a geometry.

  • It happens because the frame rotates, not because the dancer consciously shoves the moving foot across.

  • In practice: as long as the moving foot lands in the general corridor of the standing leg’s line, the Outside Partner relationship works.

  • The exact “corridor” depends on body size, hip width, frame shape, and partner relationship.

    • A tall narrow-hipped Leader will show less apparent “cross.”

    • A shorter wide-hipped Leader may show more.

    • Both are correct — the partnership geometry is what matters.


Why literal CBMP is dangerous

  • If Leaders try to force the moving foot exactly across the standing leg, it destabilizes balance.

  • It also pulls the Follower offline or into collision.

  • It turns a natural consequence into an artificial thing to do, which kills the “feathered” aesthetic (it feels awful too).

The Vf - Frame Vector

  • Represents rotational change of the upper body (which can give the appearance of CBM).
  • Originates from rotation around the Y-axis (spine) during the step
  • Varies over time: \(\dfrac{dθ}{dt}\) (rotational velocity)
  • Causes tangential alignment changes to set up for Outside Partner

\(\vec{V_f} = \dfrac{dθ}{dt} × r\)

Where:

  • \(\theta\) = torso yaw
  • \(r\) = lateral partner offset (approx. 1 unit)

\(\vec{V_f}\) must be a gradual progression to setup the Frame and Hip rotation to enable CBMP to occur without the dancer 'having to plop their foot there'.


CBMP is a consequence, not a placement.
The moving foot ends up “in line with or across the standing foot” only because the frame has rotated into Outside Partner. The literal syllabus definition describes the result, not the action.
In practice, so long as the moving foot tracks generally along the standing leg’s line — adjusted for body size and frame — the CBMP is correct. The true lead is the rotational geometry of the torso, not the foot placement.

Footwork for the Feather Step and Finish

For the Leader: HT, T, TH For the Follower: TH, TH, TH

Yes, that means there is a very special Rise and Fall for a Feather (or Open) Finish.


Biomechanical Implications

  • The body is still rotating — no new CBM is initiated, but prior CBM is resolving
  • Pelvis and spine are twisted, adding torque into the system
  • Sway begins as a physical response to that torque — not as styling

There is no "static L side lead" — the lead side is moving relative to the pelvis and spine.


✅ Clarified Technical Details

  • CBMP Emergent consequence of rotation — not consciously placed
  • Velocity Slight deceleration to allow graceful landing
  • Sway Right — now the final result of angular deceleration

Biomechanical Implications

  • The foot crosses the standing leg’s line because of preceding rotational mechanics
  • CBMP is not a decision, it is a geometric necessity at this point
  • Right sway is now active — not for styling, but as an outcome of resolving rotation

The foot goes to CBMP because of what happened in Steps 1 and 2. Trying to force it there without the proper body action will result in instability and poor partnering.